OCUP2F 06 Activity Diagram
Jump to navigation
Jump to search
Module 2. Activity Diagram⌘
References⌘
- Filip Stachecki, Concurrency in UML, White Paper, March 2014
Activity Diagram⌘
- Describes the workflow behavior of a system, focuses on flows.
- A Process describes a sequence or flow of Activities in an organization with the objective of carrying out work.
Activity, Action⌘
Activity
- describes a sequence of actions based on control models and object flow models
- contains edges and activity nodes (e.g. actions)
- represented by a rectangle with rounded corners
Action
- is a fundamental unit of executable functionality contained within an Activity
- represents a single step within an activity
Activity ⌘
Activity contains nodes and edges.
Activity Node ⌘
Subtypes of Activity Node
Activity Edge⌘
- The edges of an activity
- Denoted by a straight line with an open arrowhead
Control Flow⌘
- A control flow is an edge that starts an activity node after the previous one is finished
Object Flow⌘
- An object flow is an activity edge that can have objects or data passing along it
Objects⌘
- Object Node is used to describe object flow within an activity
- Notation: rectangle
Pin or Parameter⌘
- Incoming or outgoing objects connected to an activity are parameters
- Placed (as rectangles) on the border
- Or as small rectangle, called a pin (input or output) connected to actions
Pin or Parameter example⌘
Stream and exception parameter⌘
- Streaming parameters allow values to be passed into and out of a Behavior execution any time during its course, rather than just on invocation and completion.
- Exception Parameter (output only) is annotated with a small triangle.
Token⌘
- The semantics of an activity is based on a token flow
- Control tokens and object tokens flow between nodes over edges
- An object token with no value in it is called a null token.
- A null token can be passed along an object flow and invoke behavior without passing any value.
Activity Example⌘
Control Nodes⌘
- Control Node is used to manage the flow of tokens between other nodes in an Activity.
Initial Node⌘
- It has outgoing edges but no incoming edges
- An activity may have more than one initial node
- Each generates a concurrent flow
- An initial node can have more than one outgoing edge
- Semantics: a control token at each outgoing edge
- Activity diagrams do not have to have initial nodes
- Notation: a filled circle
Activity Final Node⌘
- An activity may have more than one activity final node
- The first one reached stops all flows in the activity
- Regardless of the number of tokens in activity
- At least one incoming edge and no outgoing edges
- If several incoming edges only one must carry a token
- Activity diagrams do not have to have final nodes
- Notation: a filled circle with an outer ring
Flow Final Node⌘
- A Flow Final Node is a Final Node that terminates a flow by consuming the tokens offered to it.
Decision⌘
- is a control node that chooses between outgoing flows
- One incoming edge and several outgoing edges
- When a token is supplied guards on outgoing edges are evaluated
- Token goes to first true outgoing
- Notation: a rhombus
Merge⌘
- A merge node is a control node that brings together multiple alternate flows
- It is not used to synchronize concurrent flows
- Several incoming edges, one outgoing edge
- Nothing calculated, nothing expected
- Notation: an empty rhombus
- incoming to and outgoing from a Merge must be either all Object Flows or all Control Flows.
Decision example⌘
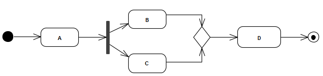
Fork, Join⌘
- Fork – one incoming edge and multiple outgoing edges
- Join – multiple incoming edges and one outgoing edge
Join with Object Flow⌘
- If one of the incoming flows of a Join Node is an Object Flow, then its outgoing flow must be an Object Flow.
Fork with Object Flow⌘
- The Activity Edges incoming to and outgoing from a Fork Node must be either all Object Flows or all Control Flows.
Implicit splitting⌘
Once action A terminates
- a control token is available at both outgoing edges
- actions B and C start concurrently
Implicit synchronization⌘
Action F doesn't start until tokens are available at both incoming edges - actions D and E have to terminate
Implicit split/synchronization - object flow⌘
AND semantics for object flows
- Once action A terminates it provides two object nodes
- Action F doesn't start until object tokens are available at both incoming edges - actions D and E have to terminate
Fork/Join and Merge mix⌘
localPrecondition and localPostcondition⌘
- localPrecondition for an Action is constraint that should hold when an execution of an Action starts
- localPostcondition for an Action is constraint that should hold when an execution of an Action completes
Call Actions⌘
Call Behavior Action⌘
- Call Behavior Action invokes a Behavior directly
Call Operation Action⌘
- Call Operation Action transmits an Operation call request message to the target object
Send Actions⌘
- Send Signal Action creates a Signal instance and transmits the instance to the object given on its target
- Broadcast Signal Action transmits the signal instance to all available target objects in the system.
- Send Object Action transmits any kind of object to the object given on its target
Accept Event Actions⌘
- Accept Event Action waits for a specific event to occur.
Accept Event Actions examples⌘
Weight⌘
- Weight specifies minimum number of tokens that must traverse the Activity Edge at the same time.
- Once the minimum number of tokens are offered, all the tokens offered by the source are offered to the target all at once.
- If no weight is specified, this is equivalent to specifying a constant value of 1.



















